이전 글에서 말씀드린 것처럼 풍하중은 평균적인 바람의 힘인 설계풍압에 바람을 받는 구조체의 면적(풍향에 대한 수직 수압면적)을 곱하는 방식으로 계산할 수 있습니다.

또 바람은 정적인 성질뿐 아니라 동적인 성질도 있어서 그런데 이런 동적인 성질을 복잡하게 반영하기는 어렵기 때문에 특수한 구조물을 제외한 일반 건물의 구조설계에서는 실용적인 방법을 적용하는데, 바람에 의한 동적압력을 등가의 정적인 힘으로 전환하여 적용합니다. 따라서 이것을 반영하여 풍하중을 계산하는 일반적인 식을 나타내면 다음과 같이 됩니다.

자세한 내용은 이전 블로그를 참고해주시고 여기서는 가스트영향계수값에 대해 살펴보겠습니다.
▶ 풍하중을 계산할 때 속도압/ 설계풍압/ 기본풍속/ 지표면조도구분/ 풍속고도분포계수
위 식에서 가스트영향계수가 동적압력을 반영하기 위해 도입한 계수입니다. 풍하중에 대해 건축물의 구조설계를 한다면 최대변위를 발생시키는 하중분포를 적용할 필요가 있습니다. 그런데 일반적인 건축물에서는 평균 풍하중에 의한 건축물의 최대변형과 변동풍하중을 포함한 건축물의 최대변위의 분포형태가 거의 비슷하다고 합니다. 따라서, 설계풍속으로서 평균풍속을 사용한다면 변동풍하중을 포함한건축물의 최대변위와 동등한 변위를 발생시킬 수 있도록 평균풍하중을 할증하여 적용할 수 있습니다. 이렇게 등가정적 최대풍하중을 건축물에 작용시킨 경우의 변위를 최대변위로 적용하기 위해 사용하는 할증계수가 가스트영향계수입니다. 구조설계기준에서는 가스트영향계수를 다음과 같이 정의하고 있습니다.
가스트영향계수 : 바람의 난류로 인해 발생되는 구조물의 동적 거동 성분을 나타내는 것으로 평균변위에 대한 최대변위의 비를 통계적인 값으로 나타낸 계수
가스트영향계수는 여유건축구조물과 강체건축구조물로 나뉘어 다음과 같이 계산하도록 규정하고 있습니다.
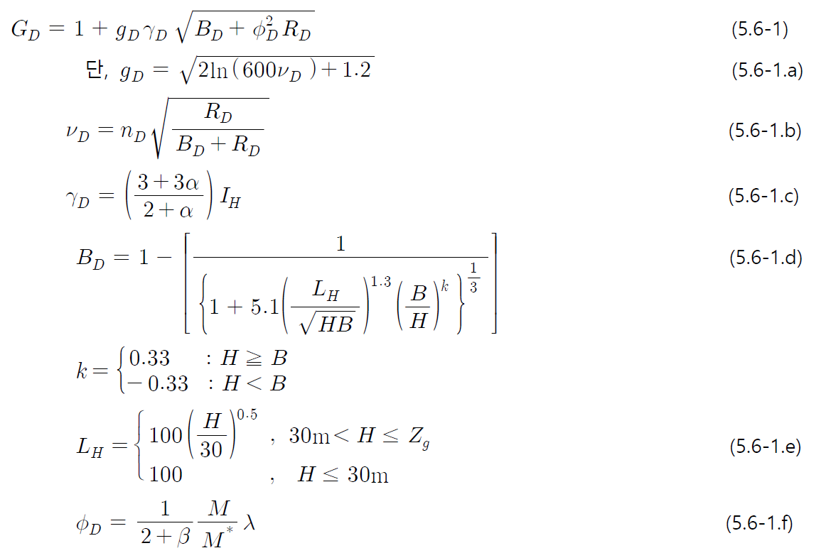
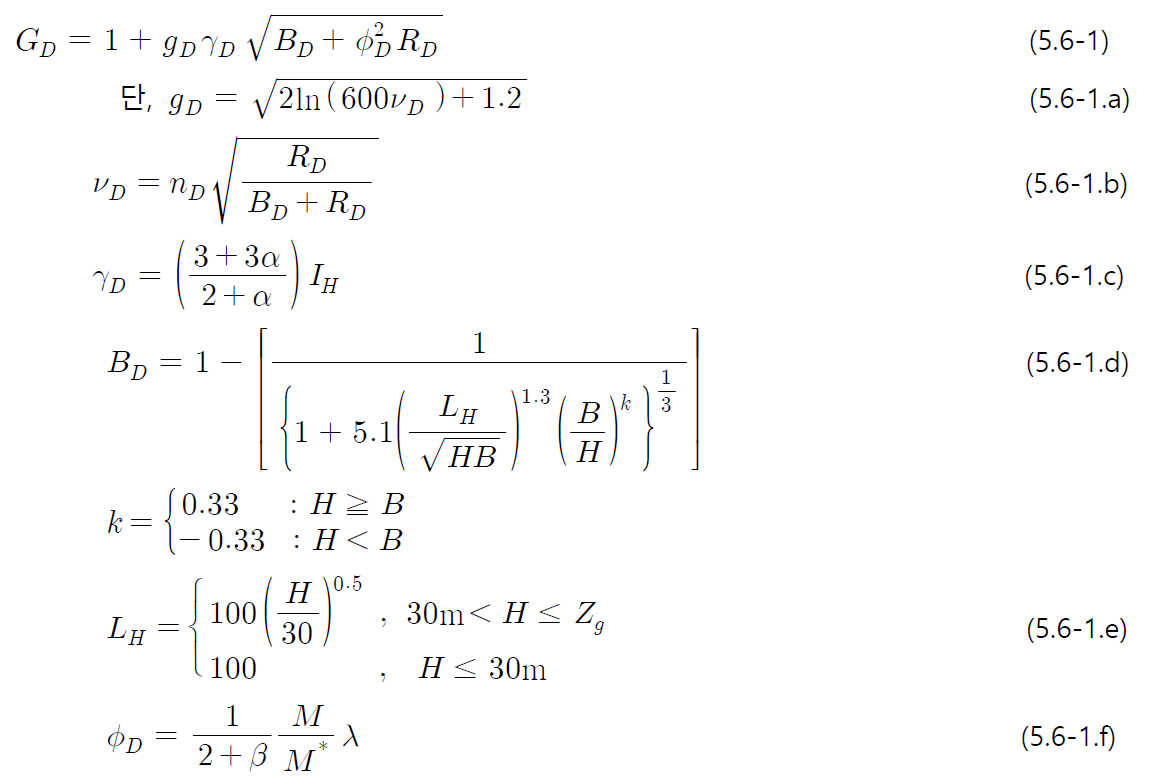
건축구조물의 풍방향고유진동수가 1Hz를 이하인 경우, 바람에 의한 동적효과를 무시할 수 없는 세장한 구조물 및 기타 건축구조물인 경우의 주골조설계용 풍방향가스트영향계수는 다음 식(5.6-1)에 따라 산정합니다. 단, 굴뚝과 같이 수직으로 세장한 건축구조물은 H/B의 값이 7 이하인 경우에는 강체건축구조물로 적용합니다.





건축구조물의 풍방향고유진동수가 1Hz를 초과하는 경우, 바람에 의한 동적 효과를 무시할 수 있는 강체건축 구조물 및 기타 구조물인 경우의 주골조설계용 풍방향가스트영향계수는 식(5.6-2)에 따라 산정합니다.

건축물의 중요도분류는 다음 글을 참고하시기 바랍니다.
다음은 하중에 대한 내용들입니다.
▶ 풍하중을 계산할 때 속도압/ 설계풍압/ 기본풍속/ 지표면조도구분/ 풍속고도분포계수
| 지진하중/ 설계응답스펙트럼이란?/ 설계응답스펙트럼 구하는 방법 (0) | 2024.03.23 |
|---|---|
| 지진하중(Seismic load, Earthquake load) 개요 (0) | 2024.02.26 |
| 풍하중을 계산할 때 속도압/ 설계풍압/ 기본풍속/ 지표면조도구분/ 풍속고도분포계수 (2) | 2024.02.22 |
| 풍하중(W); Wind load (0) | 2024.02.21 |
| 활하중의 저감계수/ 활하중 줄이기 (2) | 2024.02.17 |